EVAÔ is not just a new perfomance measurement fad, it's
intimately related to NPV. It's sometmes useful to see the relation. All EVA is simply net
after tax income minus a cost of equity capital, and sometimes its better called Net
Income After Capital Charge (NIACC). It is a useful way to integrate ROE and net income
information, replacing two numbers with one. An important point to remember is that in
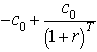
calculating the discounted EVA, do not count the principal cash flows, i.e., ignore the
capital outlays and paypacks. Capital is accounting for by a per period "rent",
while NPV does not charge explicitly for the capital other than through the differences
between the value of cash today vs. cash tomorrow:
.
Discounted EVA is equal to NPV. Not approximates, equals.
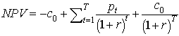
Assume an initial capital outlay c0, and payment receipts p every period until time T, discount rate r, and a return of the initial capital outlay. The NPV is thus the following:

EVA is simply
. The shareholder value
added (SVAÔ ) or discounted EVA, is

Proposition: SVA, or discounted EVA=NPV
proof:
